| № | Атауы | Жүктеу |
|---|---|---|
| 1 | Ас мәзірі бойынша бекітілуге тиісті баға | |
| 2 | Ас мәзірі | |
| 3 | Тамақтану мониторинг жұмысы |
https://sh-bulaktykol.baiganin-roo.edugov.kz/kz/bolim-turaly/t-m-kt-nu.html#sigFreeIdb250beca18
Білім беру ұйымдарында оқу жылының 4-токсанға асхана жұмыстарының дайындығы туралы 2025 жылдың 31 наурыз күні Байғанин ауданының білім беру ұйымдарының асханасының оқу тоқсанына дайындығы және санитарлық талаптарға сәйкестігіне мониторинг жүргізілді. Облыстық білім басқармасының өкілі Г.Қойбағарқызы, аудандық санитариялық- эпидемиологиялық бақылау басқармасы маманы К. Шекіртбаева, аудандық білім бөлімінің маманы Ж.Усербаева және мектеп директоры, қамқоршылық кеңес мүшесі болып мониторинг жұмыстарын жүргізді.
Тамақтан улану және тамақтың сақталуына байланысты тиісті іс шаралардың алдын алу бойынша түсіндірме жұмыстарын жүргізіп, өз ұсыныстарын білдірді.
https://sh-bulaktykol.baiganin-roo.edugov.kz/kz/bolim-turaly/t-m-kt-nu.html#sigFreeId3d8de0ac64
Тыйым салынған өнімдермен улану жағдайларының алдын алу және болдырмау
Байғанин ауданының білім бөлімі облыстық білім басқармасының 24.02.2025 жылғы №01-14/652,674 санды хаттарында аталған білім алушылар мен тәрбиеленушілердің тағамнан улануының алдын алу мақсатында жолданған хаты негізін өз жұмыстарыңызда пайдалана отырып, балалардың тыйым салынған өнімдермен улану жағдайларының алдын алу және болдырмау үшін білім беру ұйымдарына берілген шаралар бойынша біршама жұмыстар атқарылды.
Байғанин ауданының білім бөліміне қарасты 22 білім беру жалпы орта мектептері бар. Барлық білім беру ұйымдарында балалардың тыйым салынған өнімдермен улану жағдайларының алдын алу және болдырмау үшін санитарлық талаптарды мүлтіксіз сақатуды және тыйым салынған тәтті өнімдерді, үйде тағайындалған өнімдерді, фаст-фудтар, пиццалар, чипсондар, дәмдік қоспалары бар тұздалған қытырлақ нанды; ащы тұздықтар, кетчуптар өнімдерін пайдалануға және өткізуге жол бермеуге мектеп медбикелері мен Байғанин аудандық санитариялық -эпидемиологиялық бақылау басқармасының бас маманы З.Б.Дүсіп болып бірлесіп тағамнан уланудың алдын - алу мақсатында түсіндірме жұмыстарын жүргізді.
Балалар мен жасөспірімдерге дұрыс тамақтану олардың денсаулығын нығайтып, дене және ой қабілетінің дамуына мүмкіндік беретіндігін, еңбек ету мен сабаққа үлгеру қабілетін арттыратынын айтты. Тамақтану дұрыс ұйымдастырылмаса, тиімсіз, яғни жеткіліксіз болса, организмде метаболизм , зат алмасу бұзылып, оның айналадағы ортаның зиянды әсеріне әртүрлі жұқпалы ауруларға қарсы тұрарлық қабілеті төмендейтіні жайында және дүкендерден зиянды тағамдарды сатып алмау және пайдаланбау жайында түсіндіріліп, бейнероликтер көрсетілді. Аталған іс-шаралар жалғастырылып, тапсырманың орындалуы туралы ақпараттар өз мерзімінде жіберілетіндігі хабарланады.
Атқарылған жұмыстар әлеуметтік желілерде жария етілді.
Қазақстан Республикасының денсаулық сақтау министрлігі Санитариялық – эпидемиологиялық бақылау комитеті Ақтөбе облысының санитариялық - эпидемиологиялық бақылау департаменті (бұдан әрі – Департамент) 2025 жылдың 18 ақпан күні улану белгілерімен Қобда ауданындағы мектеп оқушылары арасында тіркелген жағдайға байланысты №2 Қарауылкелді орта мектебінің 1-7 класс оқушыларына Байғанин аудандық санитариялық-эпидемиологиялық бақылау басқармасының басшысы м.а Дүсіп Зәмзәгүл Бағдәулетқызы мен мектеп медбикесі
Сагинова Аклима Тобышқызы мен ДТІЖО Ботағарин Серік Нығметұлының қатысуымен тағамнан уланудың алдын алу мақсатында түсіндірме жұмыстары жүргізілді.
Мектеп оқушыларының ата- аналарына WhatsApp желісі арқылы класс жетекшілер ата- аналар чатына хабарлар таратылды.
Ұйымдастырушы: Әлеуметтік педагог Ә.Р.Аманбай
@oqu_agartu_ministrligi
@gani.beisembayev
@medetbekovameruert
@anar_tanirbergenova18
@birtutas_tarbie2024
@aqtobe_bilim_basqarmasy
@birtutas_tarbie_aqtobe
@aqtobe_adistemelik_ortalyk
@baiganin_bilim_bolimi
@birtutas_tarbie_baiganin
#біртұтас_тәрбие_ақтөбеоблысы
#біртұтас_тәрбие
#біртұтас_тәрбие_ақтөбеоблысы2024
#біртұтас_тәрбие
«Қопа орта мектебі» КММ-нің оқушыларына «Жұқпалы аурулар мен тағамнан улану» тақырыбында мектеп медбикесі Р.Ыбырай түсіндірме жұмысын жүргізді.Тамақтан улану және жұқпалы аурулар туралы кеңінен айтылды Асхана тамақ тары тексеріліп, сақтану шаралары күшейтілді.
Ақпарат көзі: "Қопа орта мектебі" КММ
@orken_instituty
#центрпедагогическойподдержки
#атааналардыпедагогикалыққолдауорталығы
#цппр
#біртұтас_тәрбие
@oqu_agartu_ministrligi
@gani.beisembayev
@medetbekovameruert
@anar_tanirbergenova18
@birtutas_tarbie2024
@aqtobe_bilim_basqarmasy
@birtutas_tarbie_aqtobe
@aqtobe_adistemelik_ortalyk
@baiganin_bilim_bolimi
#біртұтас_тәрбие_ақтөбеоблысы
#біртұтас_тәрбие
#біртұтас_тәрбие_ақтөбеоблысы2024
https://sh-bulaktykol.baiganin-roo.edugov.kz/kz/bolim-turaly/t-m-kt-nu.html#sigFreeIdbdea21301e
Қазақстан Республикасының денсаулық сақтау министрлігі Санитариялық эпидемиологиялық бақылау комитеті Ақтөбе облысының санитариялық-эпидемиологиялық бақылау департаменті (бұдан әрі - Департамент) 2025 жылдың 18 ақпан күні улану белгілерімен Қобда ауданындағы мектеп оқушылары арасында тіркелген жағдайға байланысты Бұлақтыкөл орта мектебінде оқушыларға әлеуметтік педагог Қалдыбаева Назгүл және мектеп медбикесі Жұбанова Нұргүл тағамнан уланудың алдын алу мақсатында түсіндірме жұмыстары жүргізілді.
Мектеп оқушыларының ата- аналарына WhatsApp желісі арқылы класс жетекшілер ата-Мектеп оқушыларының ата- аналарына WhatsApp желісі арқылы класс жетекшілер ата-аналар чатына хабарлар таратылды.
Ұйымдастырушы: Әлеуметтік педагог: Қалдыбаева.Н
Мектеп медбикесі: Жұбанова.Н
• @oqu_agartu_ministrligi
@gani.beisembayev
@medetbekovameruert
@anar_tanirbergenova18
@birtutas_tarbie2024
@aqtobe_bilim_basqarmasy
@birtutas_tarbie_aqtobe
@aqtobe_adistemelik_ortalyk
@baiganin.bilim.bolimi
https://sh-bulaktykol.baiganin-roo.edugov.kz/kz/bolim-turaly/t-m-kt-nu.html#sigFreeIdfe4497d70c
Қазақстан Республикасының денсаулық сақтау министрлігі Санитарлық - эпиделогиялық бақылау комитеті Ақтөбе облысының санитарлық - эпиделогиялық бақылау департаменті Сізге 2025 жылдың 18 ақпан күні улану белгілерімен Қобда ауданындағы мектеп оқушылары арасында тіркелген жағдайға байланысты С. Ешбаев атындағы орта мектебінде оқушыларға әлеуметтік педагог Байманова А, мектеп медбикесі Абдуллина Г тағамнан уланудың алдын - алу мақсатында түсіндірме жұмыстары жүргізілді. Мектеп оқушыларының ата -аналарына WatsApp желісі арқылы класс жетекшілер чатына хабарламалар таратылды.
#біртұтас_тәрбие
@oqu_agartu_ministrligi
@gani.beisembayev
@medetbekovameruert
@anar_tanirbergenova18
@birtutas_tarbie2024
@aqtobe_bilim_basqarmasy
@birtutas_tarbie_aqtobe
@aqtobe_adistemelik_ortalyk
@baiganin_bilim_bolimi
#біртұтас_тәрбие_ақтөбеоблысы
#біртұтас_тәрбие
#біртұтас_тәрбие_ақтөбеоблысы2024
https://sh-bulaktykol.baiganin-roo.edugov.kz/kz/bolim-turaly/t-m-kt-nu.html#sigFreeId020b2e980e
Қазақстан Республикасының денсаулық сақтау министрлігі Санитариялық - эпидемиологиялық бақылау комитеті Ақтөбе облысының санитариялық- эпидемиологиялық бақылау департаменті 2025 жылдың 18 ақпан күні мектеп оқушылары арасында тіркелген жағдайға байланысты Қарауылкелді орта мектебінде оқушыларға әлеуметтік педагог Н. Қ.Жүрсін, мектеп медбикесі Ә. Т.Жылқыбаева және Байғанин аудандық санитариялық-эпидемиологиялық бақылау басқармасының бас маманы З.Б.Дүсіп тағамнан уланудың алдын алу мақсатында түсіндірме жұмыстарын жүргізді.
@baiganin.bilim.bolimi
#біртұтас_тәрбие_ақтөбеоблысы2024
#біртұтас_тәрбие
https://sh-bulaktykol.baiganin-roo.edugov.kz/kz/bolim-turaly/t-m-kt-nu.html#sigFreeId1a618a6cee
Қазақстан Республикасының Денсаулық Сақтау Министрлігі Санитариялық-эпидемиологиялық бақылау комитеті, Ақтөбе облысының Санитариялық-эпидемиологиялық бақылау департаментінің тапсырмасына сәйкес 2025 жылдың 26-ақпан күні “Қарабұлақ орта мектебі” КММ-де “Дұрыс тақтану” тақырыбында уланудың алдын алу, дұрыс тамақтану әдебін қалыптастыру мақсатында түсіндірме жұмыстары жүргізілді.
Ұйымдастырушы:
Әлеуметтік педагог: А.Қабиева
Мектеп медбикесі: М.Туралина
@baiganin.bilim.bolimi
@birtutas_tarbie_baiganin
@aqtobe_bilim_basqarmasy
https://sh-bulaktykol.baiganin-roo.edugov.kz/kz/bolim-turaly/t-m-kt-nu.html#sigFreeIdd243b414c1
Қазақстан Республикасының денсаулық сақтау министрлігі Санитариялық эпидемиологиялық бақылау комитеті Ақтөбе облысының санитариялық-эпидемиологиялық бақылау департаменті (бұдан әрі-Департамент) 2025жылдың 18 ақпан күні улану белгілерімен Қобда ауданындағы мектеп оқушылары арасында тіркелген жағдайға байланысты Қосарал негізгі мектебінде оқушыларға мектеп медбикесі:Жанадилова Сымбат тағамнан уланудың алдын алу мақсатында түсіндірме жұмыстары жүргізілді.
Мектеп оқушыларының ата-аналарына WhatsApp желісі арқылы класс жетекшілер ата-аналар чатына хабарлар таратылды.
Ұйымдастырушы:Жанадилова С
@oqu_agartu_ministrligi
@gani.beisembayev
@medetbekovameruert
@anar_tanirbergenova18
@birtutas_tarbie2024
@aqtobe_bilim_basqarmasy
@birtutas_tarbie_aqtobe
@aqtobe_adistemelik_ortalyk
@baiganin_bilim_bolimi
@birtutas_tarbie_baiganin
#біртұтас_тәрбие_ақтөбеоблысы
#біртұтас_тәрбие
#біртұтас_тәрбие_ақтөбеоблысы2024
https://sh-bulaktykol.baiganin-roo.edugov.kz/kz/bolim-turaly/t-m-kt-nu.html#sigFreeIdd3b8e994fb
Қазақстан Республикасының денсаулық сақтау министрлігі Санитариялық – эпидемиологиялық бақылау комитеті Ақтөбе облысының санитариялық - эпидемиологиялық бақылау департаменті (бұдан әрі – Департамент) Сізге 2025 жылдың 18 ақпан күні улану белгілерімен Қобда ауданындағы мектеп оқушылары арасында тіркелген жағдайға байланысты Сағи Жиенбаев атындағы орта мектебінде оқушыларға әлеуметтік педагог Ақмарал Орнашбаева,мектеп медбикесі Жанар Оғылбаева және жергілікті ауылдық учаскелік полиция инспекторы Исағали Сағынбаев тағамнан уланудың алдын алу мақсатында түсіндірме жұмыстары жүргізілді.
Мектеп оқушыларының ата-аналарына WhatsApp желісі арқылы класс жетекшілер чатына хабарламалар таратылды.
Ұйымдастырушы:
Әлеуметтік педагог Ақмарал Орнашбаева
Мектеп медбикесі Жанар Оғылбаева
Жергілікті ауылдық учаскелік полиция инспекторы Исағали Сағынбаев
@baiganin.bilim.bolimi
@birtutas_tarbie_baiganin
@birtutas_tarbie2025
#денсаулықтысақтау
#түсіндірмежұмыстары
Қазақстан Республикасының денсаулық сақтау министрлігі Санитариялық – эпидемиологиялық бақылау комитеті Ақтөбе облысының санитариялық - эпидемиологиялық бақылау департаменті (бұдан әрі – Департамент) 2025 жылдың 18 ақпан күні улану белгілерімен Қобда ауданындағы мектеп оқушылары арасында тіркелген жағдайға байланысты Сағыз орта мектебінде оқушыларға әлеуметтік педагог Дарбаева Бибигуль және мектеп медбикесі Ақтаева Сая тағамнан уланудың алдын алу мақсатында түсіндірме жұмыстары жүргізілді.
Мектеп оқушыларының ата-аналарына WhatsApp желісі арқылы класс жетекшілер ата- аналар чатына хабарлар таратылды.
Ұйымдастырушы:
Әлеуметтік педагог: Б. Дарбаева
Мектеп медбикесі: С. Ақтаева
@oqu_agartu_ministrligi
@gani.beisembayev
@medetbekovameruert
@anar_tanirbergenova18
@birtutas_tarbie2024
@aqtobe_bilim_basqarmasy
@birtutas_tarbie_aqtobe
@aqtobe_adistemelik_ortalyk
@baiganin_bilim_bolimi
@birtutas_tarbie_baiganin
#біртұтас_тәрбие_ақтөбеоблысы
#біртұтас_тәрбие
#біртұтас_тәрбие_ақтөбеоблысы2024
#біртұтас_тәрбие
Қазақстан Республикасы денсаулық сақтау министрлігі Санитарлық- эпидемиологиялық бақылау комитеті, Ақтөбе облысы Санитарлық- эпидемологиялық бақылау 2025жылдың 18-ақпан күні улану белгілерімен Қобда ауданындағы мектеп оқушылары арасында тіркелген жағдайға байланысты Көкбұлақ орта мектебінде оқушыларға түсіндірме жұмыстары жүргізілді.
Мектеп медбикесі: Спан С
Әлеуметтік педагог: Әбдіғалиева Г.Ү
@oqu_agartu_ministrligi
@gani.beisembayev
@medetbekovameruert
@birtutas_tarbie2024
@aqtobe_bilim_basqarmasy
@birtutas_tarbie_aqtobe
@aqtobe_adistemelik_ortalyk
@baiganin_bilim_bolimi
#біртұтас_тәрбие_ақтөбеоблысы
#біртұтас_тәрбие
#біртұтас_тәрбие_ақтөбеоблысы2024
https://sh-bulaktykol.baiganin-roo.edugov.kz/kz/bolim-turaly/t-m-kt-nu.html#sigFreeId51a4fd0fc3
Қазақстан Республикасының Денсаулық сақтау Министрлігі Санитарлық - эпидемиологиялық бақылау комитеті, Ақтөбе облысының санитарлық-эпидемиологиялық департаментінің тапсырмасына сәйкес 2025 жылдың 24-ақпан күні “Қаражар орта мектебі” КММ-де уланудың алдын алу, дұрыс тамақтану, жеңіл әрі тез дайындалатын тағамдарды қолданбау, бала денсаулығын сақтау мақсатында оқушыларға түсінік жұмыстары жүргізілді. Ұйымдастырушылар: Мектеп медбикесі М.Ф. Қалдығалиева
Әлеуметтік педагог: Д.Ө.Дөңбай
@oqu_agartu_ministrligi
@gani.beisembayev
@medetbekovameruert
@anar_tanirbergenova18
@birtutas_tarbie2024
@aqtobe_bilim_basqarmasy
@birtutas_tarbie_aqtobe
@aqtobe_adistemelik_ortalyk
@baiganin_bilim_bolimi
#біртұтас_тәрбие_ақтөбеоблысы
#біртұтас_тәрбие
#біртұтас_тәрбие_ақтөбеоблысы2024
Казакстан Республикасы денсаулык сактау министрлігі Санитарлык-эпидемиологиялык бакылау комитеті Актобе облысы Санитарлык-эпидемиологиялык бакылау департаменті(будан рі - Департамент) Сізге 2025 жылдын 18 акпан куні улану белгілерімен Кобда ауданындагы мектеп окушылары арасында тіркелген жадайга байланысты Жарқамыс орта мектебінде ата-аналарға әлеуметтік педагог А.Алпысбаева , мектеп медбикесі К.Қойшыбай тағамнан уланудын, алдын алу максатында түсіндірме жұмыстары жүргізді. ұйымдастырушы: ДТІЖО: Қарашолақова Н.
@baiganin.bilim.bolimi
@birtutas_tarbie_baiganin
@birtutas_tarbie2025
#денсаулыктысактау
https://sh-bulaktykol.baiganin-roo.edugov.kz/kz/bolim-turaly/t-m-kt-nu.html#sigFreeIded98e6877d
Казакстан Республикасы денсаулык сактау министрлігі Санитарлык- эпидемиологиялык бакылау комитеті Актобе облысы Санитарлык-эпидемиологиялык бакылау департаменті(будан рі - Департамент) Сізге 2025 жылдын 18 акпан куні улану белгілерімен Кобда ауданындагы мектеп окушылары арасында тіркелген жадайга байланысты Жарқамыс орта мектебінде оқушыларға әлеуметтік педагог А.Алпысбаева , мектеп медбикесі К.Қойшыбай тағамнан уланудын, алдын алу максатында түсіндірме жұмыстары жүргізді. ұйымдастырушы:ДТІЖО: Қарашолақова Н.
@baiganin.bilim.bolimi
@birtutas_tarbie_baiganin
@birtutas_tarbie2025
#денсаулыктысактау
https://sh-bulaktykol.baiganin-roo.edugov.kz/kz/bolim-turaly/t-m-kt-nu.html#sigFreeId9b70cbdcfb
БІЛІМ БЕРУ ҰЙЫМДАРЫНДА ТАМАҚТАНУ САПАСЫНА МОНИТОРИНГ ЖӘНЕ ТҮСІНДІРУ ЖҰМЫСТАРЫН ЖҮРГІЗУ.
Ақтөбе облысының білім басқармасының 09.09.2024 жылғы №448 бұйрығына сәйкес және Байғанин ауданының білім бөлімінің 31.01.2025 жылғы №31бұйрығына сәйкес бөлімнің жалпы білім беретін мекемелердегі оқушылардың тамақтануын сапалы ұйымдастыруды бақылау жөніндегі аудандық ведомсвтоаралық сараптамалық топ аудан мектептеріндегі ( Қопа ОМ, Ақтан ЖырауНМ, Т.Жармағамбетов ат ОМ, Қ.Мұханбетқалиұлы ат МГ, №3 Қарауылкелді ОМ, №2Қарауылкелді ОМ, Қарауылкелді ОМ) оқушыларға тегін ыстық тамақтың ұйымдастырылуын зерделеу және түсіндіру жұмыстарын жүргізу, тамақтану сапасына мониторинг жүргізу мақсатында ведомоствоаралық сараптамалық топ білім беру ұйымдарына барды. Мониторинг барысында мектептердің тамақтануды ұйымдастыру жұмыстарының нормативтік құжаттарға сай жұмыс жасалуы туралы түсіндірме жұмыстары жүргізіліп, тамақтанудың санитарлық-гигиеналық қауіпсіздігі қаралды.
Байғанин ауданының білім бөліміне қарасты 22 жалпы орта білім беретін мектеп бар. Білім беретін жалпы орта мектептерінде бір мәрте тамақтандыруға 2414(685-арнайы санат) оқушы тамақтанады. Жеке кәсіпкер «Кенжина» 22 білім беру ұйымдарына тегін ыстық тамақпен қамтуға шарттасып, ұйымдастырып жатыр.
Ыстық тамақты жеке кәсіпкерлердің мемлекеттік сатып алу шарты негізінде шартқа отырып, әр балаға 603 теңге көлемінде келетін ас мәзірі ұсынылып, ұйымдастырылды.Ауданның білім беретін мектептерінде 1-4 сынып оқушылары үшін «Жалпы білім беретін мектептердегі білім алушылар мен тәрбиеленушілердің жекелеген санаттарына тегін және жеңілдетілген тамақтануды ұсыну» мемлекеттік қызметі сапалы және уақытылы көрсетіліп отыр. Оқушыларды тамақтануға арналған облыстық білім басқармасының бекітілген 2025 жылғы «Ас мәзірі» бойынша ыстық тамақ ұйымдастырылды. Барлық 22 мектепте асхана жұмыс жасайды. Мектеп асханаларында санитарлық-эпидемиологиялық қорытындылары бар. Қажетті асхана жабдықтары, ыдыстары бар. Өрескел кемшіліктер болған жоқ. 2 мектепке ескерту берілді.
Білім беру ұйымдары Ұлттық деректер қорына ыстық тамақпен қамтылған оқушылары туралы ақпараттары енгізілген.
https://sh-bulaktykol.baiganin-roo.edugov.kz/kz/bolim-turaly/t-m-kt-nu.html#sigFreeId6f419c95e0
| № | Атауы | Жүктеу |
|---|---|---|
| 1 | Ас мәзірі | |
| 2 | Сараптамалық топ |
БІЛІМ БЕРУ ҰЙЫМДАРЫНДА ТАМАҚТАНУ САПАСЫНА МОНИТОРИНГ ЖӘНЕ ТҮСІНДІРУ ЖҰМЫСТАРЫН ЖҮРГІЗУ.
Ақтөбе облысының білім басқармасының 09.09.2024 жылғы №448 бұйрығына сәйкес аудан мектептеріндегі ( Бұлақтыкөл ОМ, Қ.Жазықов ат ОМ, С.Ешбаев ат ОМ, Жарқамыс ОМ, Қаражар ОМ, А.С.Пушкин ат ОМ, Баршақұм ОМ, Қопа ОМ, Ақтан НМ, Қосарал НМ, Көкбұлақ ОМ, С.Жиенбаев ат ОМ, Т.Айбергенов ат ОМ, Матайқұм ОМ) оқушыларға тегін ыстық тамақтың ұйымдастырылуын зерделеу және түсіндіру жұмыстарын жүргізу, тамақтану сапасына мониторинг жүргізу мақсатында ведомоствоаралық сараптамалық топ білім беру ұйымдарына барды. Мониторинг барысында мектептердің тамақтануды ұйымдастыру жұмыстарының нормативтік құжаттарға сай жұмыс жасалуы туралы түсіндірме жұмыстары жүргізіліп, тамақтанудың санитарлық-гигиеналық қауіпсіздігі қаралды.
Байғанин ауданының білім бөліміне қарасты 22 жалпы орта білім беретін мектеп бар. Білім беретін жалпы орта мектептерінде бір мәрте тамақтандыруға 2414(684-арнайы санат) оқушы тамақтанады. Жеке кәсіпкер «Кенжина» 22 білім беру ұйымдарына тегін ыстық тамақпен қамтуға шарттасып, ұйымдастырып жатыр.
Ыстық тамақты жеке кәсіпкерлердің мемлекеттік сатып алу шарты негізінде шартқа отырып, әр балаға 603 теңге көлемінде келетін ас мәзірі ұсынылып, ұйымдастырылды.Ауданның білім беретін мектептерінде 1-4 сынып оқушылары үшін «Жалпы білім беретін мектептердегі білім алушылар мен тәрбиеленушілердің жекелеген санаттарына тегін және жеңілдетілген тамақтануды ұсыну» мемлекеттік қызметі сапалы және уақытылы көрсетіліп отыр. Оқушыларды тамақтануға арналған облыстық білім басқармасының бекітілген «Ас мәзірі» бойынша ыстық тамақ ұйымдастырылды. Барлық 22 мектепте асхана жұмыс жасайды. Мектеп асханаларында санитарлық-эпидемиологиялық қорытындылары бар. Қажетті асхана жабдықтары, ыдыстары бар.
Білім беру ұйымдары Ұлттық деректер қорына ыстық тамақпен қамтылған оқушылары туралы ақпараттары енгізілген.
https://sh-bulaktykol.baiganin-roo.edugov.kz/kz/bolim-turaly/t-m-kt-nu.html#sigFreeIdd1a09564bf
БІЛІМ БЕРУ ҰЙЫМДАРЫНДА ТАМАҚТАНУ САПАСЫНА МОНИТОРИНГ ЖӘНЕ ТҮСІНДІРУ ЖҰМЫСТАРЫН ЖҮРГІЗУ .
Ақтөбе облысының білім басқармасының 09.09.2024 жылғы №448 бұйрығына сәйкес аудан мектептеріндегі (№2,3 Қарауылкелді орта мектебі, Қарауылкелді орта мектебі, Т.Жармағамбетов атындағы орта мектебі, Қ.Мұқанбетқали ат мектеп-гимназиясына, Байғанин орта мектебіне, Сағыз орта мектебіне, Қарабұлақ орта мектебіне) оқушыларға тегін ыстық тамақтың ұйымдастырылуын зерделеу және түсіндіру жұмыстарын жүргізу, тамақтану сапасына мониторинг жүргізу мақсатында ведомоствоаралық сараптамалық топ білім беру ұйымдарына барды. Мониторинг барысында мектептердің тамақтануды ұйымдастыру жұмыстарының нормативтік құжаттарға сай жұмыс жасалуы туралы түсіндірме жұмыстары жүргізіліп, тамақтанудың санитарлық-гигиеналық қауіпсіздігі қаралды.
Байғанин ауданының білім бөліміне қарасты 22 жалпы орта білім беретін мектеп бар. Білім беретін жалпы орта мектептерінде бір мәрте тамақтандыруға 2414(684-арнайы санат) оқушы тамақтанады. Жеке кәсіпкер «Кенжина» 22 білім беру ұйымдарына тегін ыстық тамақпен қамтуға шарттасып, ұйымдастырып жатыр.
Ыстық тамақты жеке кәсіпкерлердің мемлекеттік сатып алу шарты негізінде шартқа отырып, әр балаға 603 теңге көлемінде келетін ас мәзірі ұсынылып, ұйымдастырылды.Ауданның білім беретін мектептерінде 1-4 сынып оқушылары үшін «Жалпы білім беретін мектептердегі білім алушылар мен тәрбиеленушілердің жекелеген санаттарына тегін және жеңілдетілген тамақтануды ұсыну» мемлекеттік қызметі сапалы және уақытылы көрсетіліп отыр. Оқушыларды тамақтануға арналған облыстық білім басқармасының бекітілген «Ас мәзірі» бойынша ыстық тамақ ұйымдастырылды. Барлық 22 мектепте асхана жұмыс жасайды. Мектеп асханаларында санитарлық-эпидемиологиялық қорытындылары бар. Қажетті асхана жабдықтары, ыдыстары бар.
Білім беру ұйымдары Ұлттық деректер қорына ыстық тамақпен қамтылған оқушылары туралы ақпараттары енгізілген.
https://sh-bulaktykol.baiganin-roo.edugov.kz/kz/bolim-turaly/t-m-kt-nu.html#sigFreeIdf49a88232e
Тамақтануды ұйымдастыруға байланысты ұсыныстарыңыз бен шағымдарыңыз болса сенім телефонына хабарласуға болады.
Сенім телефоны : 871345 23670 (87752165667)
https://sh-bulaktykol.baiganin-roo.edugov.kz/kz/bolim-turaly/t-m-kt-nu.html#sigFreeId9d0dd1e65c
БІЛІМ БЕРУ ҰЙЫМДАРЫНДА САПАЛЫ ТАМАҚТЫ ҰЙЫМДАСТЫРЫЛУЫНА МОНИТОРИНГ ЖҮРГІЗІЛДІ.
Байғанин ауданының білім бөліміне қарасты 22 жалпы орта білім беретін мектеп бар. Білім беретін жалпы орта мектептерінде бір мәрте тамақтандыруға 2428(798-арнайы санат) оқушы тамақтанады. Жеке кәсіпкер «Кенжина» 22 білім беру ұйымдарына тегін ыстық тамақпен қамтуға шарттасып, ұйымдастырып жатыр.
Ыстық тамақты жеке кәсіпкерлердің мемлекеттік сатып алу шарты негізінде шартқа отырып, әр балаға 603 теңге көлемінде келетін ас мәзірі ұсынылып, ұйымдастырылды.Ауданның білім беретін мектептерінде 1-4 сынып оқушылары үшін «Жалпы білім беретін мектептердегі білім алушылар мен тәрбиеленушілердің жекелеген санаттарына тегін және жеңілдетілген тамақтануды ұсыну» мемлекеттік қызметі сапалы және уақытылы көрсетіліп отыр. Оқушыларды тамақтануға арналған облыстық білім басқармасының бекітілген «Ас мәзірі» бойынша ыстық тамақ ұйымдастырылды. Барлық 22 мектепте асхана жұмыс жасайды. Мектеп асханаларында санитарлық-эпидемиологиялық қорытындылары бар. Қажетті асхана жабдықтары, ыдыстары бар.
Білім беру ұйымдары Ұлттық деректер қорына ыстық тамақпен қамтылған оқушылары туралы ақпараттары енгізілген.
Мектеп асханаларындағы тамақтандыру жұмысы санитарлық-гигиеналық талаптарға сай жүргізілуін қадағалау мақсатында бракеражды комиссия мектеп асханасында берілетін тамақтың сапасын, мөлшерін бақылауға алып, ай сайын акт толтырып, білім бөліміне жолдады.
Байғанин ауданының білім бөлімнің жоспарына сәйкес, білім беру ұйымдарында мектептеріндегі жекелеген санаттағы оқушыларға тегін ыстық тамақтың ұйымдастыруына нормативтік құжаттармен жұмыс жасауы үшін «Тамақтандыруды ұйымдастырудағы нормативтік құжаттарды жинақтау» атты тақырыпта семинар өткізілді. Семинарға барлық білім беру ұйымдарының мамандары қатыстырылды. Отырыс барысында білім беру ұйымдарында ұйымдастырылып жатырған тегін ыстық тамақтың берілуі туралы мәліметтер тыңдалды. Және асханаға қажетті тұрмыстық қажеттіліктері туралы ұсыныстар берілді. Сонымен қатар, «Отбасы және балалар саласында мемлекеттік қызметтерді көрсету қағидаларын бекіту туралы» Қазақстан Республикасы Білім және ғылым министрінің 2020 жылғы 24 сәуірдегі № 158 бұйрығындағы 10-қосымшаға сәйкес "Жалпы білім беретін мектептердегі білім алушылар мен тәрбиеленушілердің жекелеген санаттарын тегін және жеңілдікпен тамақтандыруды ұсыну" мемлекеттік қызметті көрсету қағидалары туралы мәліметтер берілді.
Жылдық жұмыс жоспарына сәйкес жалпы білім беретін мекемелердегі оқушылардың тамақтануын сапалы ұйымдастыруды бақылау жөніндегі ведомствоаралық сараптамалық топ жұмыс жасады. Өрескел кемшіліктер орын алған жоқ. Асханаларды безендіру жұмыстары тапсырылды.
«Мемлекеттік орта білім беру ұйымдарында, мектептен тыс қосымша білім беру ұйымдарында білім алушыларды тамақтандыруды ұйымдастыру, сондай-ақ мемлекеттік мектепке дейінгі ұйымдарда, жетім балалар мен ата-анасының қамқорлығынсыз қалған балаларға арналған білім беру ұйымдарында, техникалық және кәсіптік, орта білімнен кейінгі білім беру ұйымдарында тәрбиеленетін және білім алатын балаларды тамақтандыруды қамтамасыз етуге байланысты тауарларды сатып алу қағидаларын бекіту туралы» 2018 жылғы 31 қазандағы №598 бұйрығы негізінде тамақтандыруды ұйымдастыру конкурстары заңнама талаптарына сәйкес ұйымдастырылуда. Арнайы санатта оқушыларды тамақтандыру шарты жыл аяғына дейін ұзартылды. 1-4 класс оқушыларының тамақтануы үшін 9 мектепке конкурс жария етіліп, 13 мектеп үшін шарт жыл аяғына дейін ұзартылды.
«Қоғамдық тамақтану объектілеріне қойылатын санитариялық-эпидемиологиялық талаптар" санитариялық қағидаларын бекіту туралы» бұйрығына сәйкес бракеражды комиссия мектеп асханасында берілетін тамақтың сапасын, мөлшерін бақылауға алып, ай сайын акт толтырып, білім бөліміне жолдайды.Атқарылған жұмыстар нәтижелерін Байғанин ауданының сайтына жария етілді.
Тегін ыстық тамақпен қамтылатын оқушылардың құжаттарын мемлекеттік көрсетілетін қызмет стандартына сәйкес жинақтау үшін оқыту-семинар 2023-2024 оқу жылында 2рет ұйымдастырылды
Байғанин ауданының білім бөлімінің бас маманы Ж.Усербаева
Байғанин ауданының білім бөлімнің жоспарына сәйкес, білім беру ұйымдарында мектептеріндегі жекелеген санаттағы оқушыларға тегін ыстық тамақтың ұйымдастыруына нормативтік құжаттармен жұмыс жасауы үшін «Тамақтандыруды ұйымдастырудағы нормативтік құжаттарды жинақтау» атты тақырыпта семинар өткізіледі. Семинарға барлық білім беру ұйымдарының мамандары қатыстырылды. Отырыс барысында білім беру ұйымдарында ұйымдастырылып жатырған тегін ыстық тамақтың берілуі туралы мәліметтер тыңдалды. Және асханаға қажетті тұрмыстық қажеттіліктері туралы ұсыныстар берілді. Сонымен қатар, «Отбасы және балалар саласында мемлекеттік қызметтерді көрсету қағидаларын бекіту туралы» Қазақстан Республикасы Білім және ғылым министрінің 2020 жылғы 24 сәуірдегі № 158 бұйрығындағы 10-қосымшаға сәйкес "Жалпы білім беретін мектептердегі білім алушылар мен тәрбиеленушілердің жекелеген санаттарын тегін және жеңілдікпен тамақтандыруды ұсыну" мемлекеттік қызметті көрсету қағидалары туралы мәліметтер берілді. Байғанин ауданының білім бөлімінің бас маманы Ж.Усербаева Наурыз 2024 жыл.
https://sh-bulaktykol.baiganin-roo.edugov.kz/kz/bolim-turaly/t-m-kt-nu.html#sigFreeId06f1490fda
| № | Тамақтану сапасына мониторинг жұмысы - 2024 жыл | Жүктеу |
|---|---|---|
| 1 | Қаңтар айы | |
| 2 | Ақпан айы |
Ақтөбе облысы білім басқармасының Байғанин ауданының білім бөліміне қарасты 22 білім беру ұйымдары бар.
Барлық білім беру ұйымдарында асхана жұмыс жасайды. Ақтөбе облысының білім басқармасының және жылдық жоспарына сәйкес , «Мектептердегі бір мәрте тамақтану» бойынша атқарылып жатырған жұмыстарды бақылау және тамақтан уланудың алдын алу жұмыстары қаралды. Барлық мектептердегі тамақтану сапасын бақылаушы мониторингтік топ мүшелері асханаларды кунбе-күн тексере отырып, сынама тамақтарды уақытымен алынуын қадағалап, тамақ сертификаттарының мерзімдеріне сәйкестігін анықтап, оқушылардың тамақтануын ұйымдастыруда қауіпсіз және нормативтік құқықтық актілерге сәйкестігін қатаң қадағалау тапсырылды.
Мақсаты: Оқушылар арасында тамақтан уланудың алдын алу болып табылады.
Барысы: Білім беру обьектілерінің ас блоктарына санитарлық-эпидемиологиялық талаптардың сақталуын қамтамасыз ету;
Оқушыларға қауіпсіз және сапалы тамақтануын ұйымдастыруды қамтамасыз ету;
https://sh-bulaktykol.baiganin-roo.edugov.kz/kz/bolim-turaly/t-m-kt-nu.html#sigFreeIdf34721d26c
https://sh-bulaktykol.baiganin-roo.edugov.kz/kz/bolim-turaly/t-m-kt-nu.html#sigFreeId4e5f91ab33
https://sh-bulaktykol.baiganin-roo.edugov.kz/kz/bolim-turaly/t-m-kt-nu.html#sigFreeId1f3445d28e
Мектептегі тамақтандыру
Оқушыларды тамақтандыру мен санитарлық-гигиеналық режимді талдау.
Тамақтандыруды ұйымдастыру
Бала денсаулығын, оның дене және ақыл-ой дамуын анықтайтын бағыттардың бірі өскелең ұрпақты сапалы тамақтандыруды ұйымдастыру болып табылады.
Дұрыс ұйымдастырылған тамақтандыру оқушылардың денсаулығын сақтауға көмектесетіні сөзсіз. Мектеп оқушыларының бойында салауатты өмір салты негіздерін қалыптастырумен айналысу қажеттілігі бірқатар маңызды себептерге негізделеді:
- адам денсаулығының іргетасы бала жасынан қалыптасады, сәйкесінше, денсаулық сақтау бойынша әдеттері мен дағдыларын, денсаулыққа құндылықты қатынастарын аталмыш кезеңде қалыптастыруды бастаудың мақсаттылығы жоғары;
- осы жаста салауатты өмір салты негіздері бала арнайы жобаланатын қызмет барысында меңгеретін нормалар мен ережелер жинағы ретінде қалыптасады;
- адам дамуындағы мектептегі кезең адам ағзасының даму ерекшеліктері туралы, денсаулықты сақтау мен дамыту әдістері мен факторлары туралы негізгі білімді қалыптастыру үшін сезімтал болып табылады.
Мектеп тұрақты түрде қызмет көрсету сапасын жақсарту бойынша жұмыстар жүргізеді, оқушыларды өзіне қызмет көрсетуге және қоғамдық тамақтану орындарында өзін-өзі ұстау мәдениетіне үйретеді.
Жеткізілетін өнімдерді кіріс қадағалау, олардың өңдеу мен пайдалануға дайындау барысында жедел бақылау, сонымен қатар шығарылатын өнім сапасын қабылдау кезінде бақылау қамтамасыз етіледі.
Мектепте барлық оқушыларды ыстық тамақпен қамтуға барлық жағдай жасалған. Әкімшілік пен мұғалімдердің айрықша бақылауымен Жалпыға ортақ білім беру қоры есебінен тегін тамақтануға құқығы бар аз қамтылған отбасылардың балалары тамақтандырылады.
Мектепте ата-аналармен жүйелі жұмыс жүргізіледі: ата-аналар жиналыстарында балаларды ыстық тамақпен қамту қажеттілігі түсіндіріледі; мектеп оқушыларымен тамақтану мәдениетін қалыптастыру бойынша және салауатты өмір салтын насихаттау бойынша ақпараттық және тәрбие жұмыстары: оқушыларды ыстық тамақтануға қатыстыру бойынша сынып сағаттары, сыныптан тыс шаралар өткізілген.
Жоспарлы түрде оқушыларды ыстық тамақпен қамтамасыз ету бойынша жұмыстар жүргізіліп отыр: тамақтану үшін сабақ арасындағы үзілістерді ұйымдастыру,биология және технология пәндері бойынша оқу бағдарламаларының жоспарына тамақтану мәдениеті туралы сауалдарды қосу және т.б.Үйлесімді тамақтандыруды бақылау жүзеге асырылады, мектептің медициналық қызметкері тамақтану мәдениеті мен салауатты өмір салтын насихаттау бойынша дәрістер ұйымдастырады, көрнекті насихаттау жұмыстары жүргізіледі: сурет байқаулары, сыныптарда денсаулық бұрыштарын жабдықтау жүзеге асырылады.
Аудан орталығында орналасқан 5 білім беретін мектептердің (№2,3 Қарауылкелді орта мектептері және Т.Жармағамбетов ат. ОМ, Қ.Мұқанбетқали ат МГ) оқушылардың тамақтануын ұйымдастыру бойынша басты міндеттері:
- әлеуметтік қорғансыз отбасылар санатына жатқызылатын отбасылардан шыққан оқушыларды тегін тамақтанумен қамту;
- ата-аналар (заңды өкілдер) қаражаттарының көмегімен оқушыларды рационалды тамақтандыруды ұйымдастыруға қолайлы жағдай жасау;
- білім беру мекемесінің асхана бөлмелерінің материалдық базасын нығайту және жаңарту;
- қызмет көрсетудің жаңа озық формаларын дамыту және тамақтану мәдениетін жоғарылату;
- тамақтанудың санитарлық-гигиеналық қауіпсіздігін қамтамасыз ету;
- ата-аналар (заңды өкілдер) мен оқушылардың арасында ыстық тамақтанудың қажеттілігі туралы түсіндірме жұмыстарын жүйелі түрде жүргізу.
Оқу жылының басында оқушылардың ыстық тамақпен қамтылуын ұйымдастыру туралы бұйрық шығарылады, мұнда тегін ыстық тамақ алуға құқығы бар оқушылардың тізімдік құрамы бекітіледі.
Көп балалы және әлеуметтік қорғансыз топтарға жатқызылатын оқушылар санаттары ата-аналар тапсырған құжаттарға сәйкес анықталған.
Барлық шешімдерді ұсынылған құжаттар (ата-аналарының өтініші, санатын растайтын құжат, сынып жетекшісі мен ата-аналар комитетінің отбасын тексеру акті) негізінде қабылданады.
Тегін тамақты келесі санаттарға жатқызылатын көп балалы және әлеуметтік қорғансыз отбасылардың балалары алады:
- көп балалы отбасынан шыққан балалар;
- аз қамтылған атаулы көмек алатын отбасынан шыққан балалар;
- жетім балалар мен ата-ананың қамқорлығынсыз қалған балалар (заңды өкілінің);
- қамқоршылықтағы (қорғаншылық) балалар, асырап алынған балалар;
Мектеп оқушыларының қалған бөлігін тамақтандыру ата-анасының қаражаты есебінен жүзеге асырылады.
Мектепте оқушылардың уақытылы және сапалы тамақтандырылуы мәселелерінің шешімін табу үшін оқушылардың тамақтану сапасын және ұйымдастырылуын бақылау комиссиясы құрылған.
Комиссия құрамы мектеп директорының бұйрығымен бекітіледі.
Комиссия құрамына келесі өкілдер кіреді: мектеп әкімшілігі, ата-аналар қоғамы, педагогикалық ұжым, медициналық қызметкер.
Комиссияның міндеттері:
- балалардың тамақтануын ұйымдастыруды және тағамдар сапасын (тамақтану режимі, санитарлық нормалар мен ережелерді сақтау) бақылауды жүзеге асыру;
- тамақтандыру кәсіпорнымен қызмет көрсету бойынша жасалған келісім-шарт талаптарының сақталуын қоғамдық қадағалау;
- оқушылар мен ата-аналар арасында ағарту жұмыстарын жүргізу;
- оқушылар арасындағы тұтынушылық сұранысты талдау;
- комиссияның жұмыс жоспарын жасап, оны білім беру мекемесінің әкімшілігімен келісу.
Мектептің тамақтануды ұйымдастыру және сапасын бақылау комиссиясы өндірістік қадағалауды ұйымдастырады.
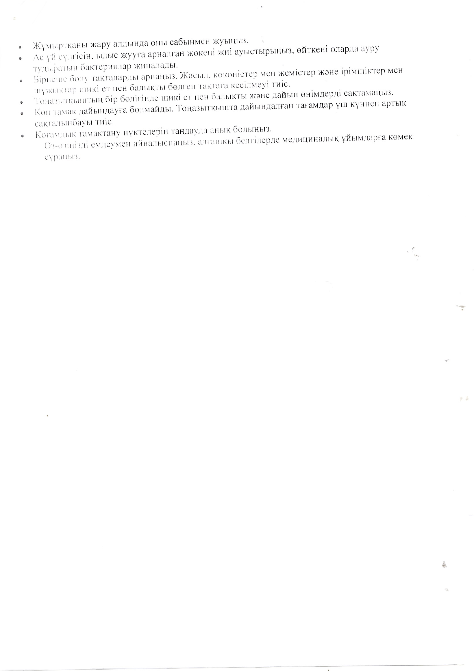
Өндірістік бақылау міндеттері:
Қосалқы құжаттардың рәсімделу дұрыстығы, тағам өнімдерінің таңбалану дұрыстығы;
Өнімдер сапасы мен қауіпсіздігінің микробиологиялық көрсеткіштері;
Асхана блогындағы сәйкес құжаттамаларды жүргізу толықтығы, дұрыстығы және рәсімделуі
Шикізат пен дайын өнімнің тоғыспалы арналарының болуы;
Ыдыстарды жуу сапасы;
Тағамдарды сақтау шарттары мен мерзімі;
Тоңазытқыш пен технологиялық құрылғыларының дұрыс жұмыс істеуі;
Жеке гигиенаның сақталуын және қажетті тексерістерден уақытылы өтуді қадағалау;
Залалсыздандыру шаралары және т.б.
Күн сайын жеткізілген өнімдердің, дайындалған тағамдардың сапасы тексеріліп, асхана жұмыскерлерінің денсаулығын бақылау журналы жүргізілген. Жеткізілген шикі және дайын өнімдерді бақылау және оларды сақтау шарттары мен жарамдылық мерзіміне сәйкес пайдалану бақылауға алынған. Мектепте екі бракераж журналы жүргізіледі: шиі өнім бракеражы және дайын өнім бракеражы. Бұдан басқа комиссия тамақтандыру кәсіпорны мен мектеп асханасы арасындағы белсенді байланыстырушы рөлінде болады.
Аталмыш комиссияның жұмысының міндеттерінің бірі тамақтануды санитария мен гигиенаның барлық нормаларын орындай отырып ұйымдастыру, сонымен қатар, оқушыларды тамақтандыруға қойылатын талаптарды сақтау болып табылады. Бұдан басқа аталмыш комиссия мектеп әкімшілігі мен мектептік-базалық тамақтандыру комбинаты арасындағы байланыстырушы болып отыр. Комиссия жұмысының міндеттеріне салауатты өмір салтын насихаттау, технологиялық құрылғылардың дұрыс жұмысын қадағалау да жатады.
Асхананың жағдайы мен дайындалған өнімдер сапасын, техникалық құрылғылардың жағдайын СанЕжН нормаларына сәйкес тексеру жұмыстары ата-аналар қоғамының және оқушылардың тамақтануын ұйымдастыру мен оның сапасын бақылау комиссиясы күшімен жүзеге асырылған.
Оқушыларды тамақтандыру белгіленген кестеге сәйкес жүргізіледі. Барлық сынып жетекшілері оқушыларды асханаға алып барады және тамақтану кезіндегі оқушылардың тәртібін қадағалайды.
Тамақтану блогы түрі – асхана.
Отыратын орындар саны бойынша отырығызылған.
Тамақтану блогының санитарлық-техникалық жағдайы санитарлық талаптарды қанағаттандырады. Күн сайын ғимарат жиналып, сенбі күндері санитарлық күн болады. Тағамдарды сақтау да санитарлық нормаларға сәйкес жүзеге асырылады. Қауіпсіздік техникасы ережелері сақталады, жұмыскерлермен тұрақты түрде Қ.Т. бойынша нұсқамалар жүргізіледі.
Біздің асханада тағамдарды дұрыс сақтауға баса назар аударылады. Мектепте әр түрлі тағам өнімдерін дұрыс сақтауға арналған тоңазытқыш камералар бар, мұнда әр тағам түрі жеке сақталады. Олардың бар болуы тағам өнімдерінің сапасын тікелей дайындағанға дейін сақтауға жағдай жасайды.
Тамақтану блогы жұмыскерлерінің арнайы жұмыс киімдерін киюі міндетті болып табылады. Бұл қажетті санитарлық-гигиеналық нормаларды сақтауға мүмкіндік береді.
Мектепте ұйымдастырылған тамақтандырумен қатар буфет жұмыс жасайды. Мұнда әр түрлі пісірілген тағамдар мен әр алуан шырындар сатылады.
Мектептегі ауыз су режимін ұйымдастыру да аса маңызды мәселелердің бірі. Мектеп асханасы толықтай қажетті ыдыс-аяқпен жабдықталған. Оның тазалығына баса назар аударылады. Жуу мен залалсыздандыру барлық санитарлық-гигиеналық нормаларды сақтай отырып жүргізіледі, ең жақсы залалсыздандыру құралдары пайдаланылады. Мектептегі жұмыс жасаған уақыт ішінде асхананың кінәсінен асқазан-ішек жұқпасымен ауыру жағдайлары болған жоқ. Асханаға кіреберісте оқушылардың қолын жууға арналған арнайы орын бар.
Дайындалған тағамдардың сыртқы түріне баса назар аударылады, сол себепті біздің аспаздар орған аса мән береді. Асханада үй жағдайындай жайлылық пен жылу сезінуге болады. Осылардың барлығы тамақтануға қосымша қолайлы жағдай жасайды.
Мектептегі тамақтандыруды ұйымдастыру жүйесінің міндеттері келесідей:
- оқушыларды толық ыстық тамақпен қамтамасыз ету;
- тағамның нәрлілігі мен үйлесімділігін қадағалау;
- оқушылара салауатты өмір салты ұстанымдарын үйрету;
- жағымды дағдыларды қалыптастырып, салауатты өмір салтына қажеттілікті қалыптастыру;
- тамақтану мәдениеті мен өзіне-өзі қызмет көрсету дағдыларын қалыптастыру;
Аталмыш міндеттердің шешімін табу үшін бірқатар қызметкерлер жұмылдырылған, олар ең алдымен асхана жұмыскерлері болып табылады.
Байғанин ауданының білім бөлімінің бас маманы Ж.Усербаева.
| № | АС МӘЗІРІ 2024 жыл | Жүктеу |
|---|---|---|
| 1 | Утвержд меню 2024 года0109195023 | |
| 2 | Ведомство аралық топ |
Балабақшадағы тамақтану Байғанин ауданының білім бөліміне қарасты 22 білім беру ұйымдары бар. Барлық білім беру ұйымдарында асхана жұмыс жасайды. Ақтөбе облысының білім басқармасының №2/5479 санды тапсырмасын орындау мақсатында, тамақтан уланудың алдын алу жұмыстарына қатаң бақылауға алу тапсырылды. Тапсырманы орындауға мектептердегі тамақтану сапасын бақылаушы мониторингтік топ мүшелері асханаларды кунбе-күн тексере отырып, сынама тамақтарды уақытымен алынуын қадағалап, тамақ сертификаттарының мерзімдеріне сәйкестігін анықтап, оқушылардың тамақтануын ұйымдастыруда қауіпсіз және нормативтік құқықтық актілерге сәйкестігін қатаң қадағалау тапсырылды. Мақсаты: Оқушылар арасында тамақтан уланудың алдын алу болып табылады. Барысы: *Білім беру обьектілерінің ас блоктарына санитарлық-эпидемиологиялық талаптардың сақталуын қамтамасыз ету; *Оқушыларға қауіпсіз және сапалы тамақтануын ұйымдастыруды қамтамасыз ету;
https://sh-bulaktykol.baiganin-roo.edugov.kz/kz/bolim-turaly/t-m-kt-nu.html#sigFreeId8da1de1476
https://sh-bulaktykol.baiganin-roo.edugov.kz/kz/bolim-turaly/t-m-kt-nu.html#sigFreeId32a83af5d0
| № | Атауы | Жүктеу |
|---|---|---|
| 1 | Ас мәзірі |
https://sh-bulaktykol.baiganin-roo.edugov.kz/kz/bolim-turaly/t-m-kt-nu.html#sigFreeId96becf3ba8
| № | Название | Скачать |
|---|---|---|
| 1 | 64 ПП каз | DOCX |
| 2 | 64 ПП рус-каз | DOCX |
| 3 | 320 Каулы-2022.kaz | DOCX |
| 4 | 320 Каулы-2022.rus | DOCX |
| 5 | 598-231 каз ЖАНАСЫ 2021 | DOCX |
| 6 | 598-231 НОВЫЙ 2021 | DOCX |
| 7 | 599 Недобросо поставщ каз | DOCX |
| 8 | 599 Недобросовпоставщики рус | DOCX |
| 9 | 1032 Новый каз сент 2020 | DOCX |
| 10 | 1032 Новый рус сент 2020 | DOCX |
| 11 | Сан-Эпид ребования №76 2021 рус | DOCX |
| 12 | Сан-эпид треб №76 | DOCX |
| 13 | Стандар питнаия каз 22.12.2020 | DOCX |
| 14 | СТАНДАРТ 158 рус 02.2022 | DOCX |
| 15 | СТАНДАРТ 158 каз 02.2022 | DOCX |
https://sh-bulaktykol.baiganin-roo.edugov.kz/kz/bolim-turaly/t-m-kt-nu.html#sigFreeId66b2e278b9
https://sh-bulaktykol.baiganin-roo.edugov.kz/kz/bolim-turaly/t-m-kt-nu.html#sigFreeId2cc7750be1
| № | Название | Скачать |
|---|---|---|
| 1 | меню 2019 -2020 |
